دراسة تعديل الغزارة التصميمية لمنظومات توزيع المياه من الغزارة الساعية العظمى إلى الغزارة اليومية العظمى

Study of Modifying Design Discharge of Water Distribution Systems From Max.hour to Max.day

د.م. جهاد سابا كلية الهندسة المدنية – جامعة دمشق

ملخص

يعتمد تصميم وتحليل منظومات توزيع مياه الشرب على عدة بارامترات تصميمية، منها الغزارة التصميمية والتي تعتمدها الكودات والمراجع على انها الغزارة الساعية العظمى في سنة الهدف.  ولكن، بعد متابعة اداء العديد من منظومات توزيع مياه الشرب في سورية، خاصة الغزارات اليومية والساعية ومخططات الاستهلاك،  تبين أنه لا وجود لساعة استهلاك اعظمية، بل يمتد الاستهلاك الاعظمي على فترة عدة ساعات مع انخفاض قيمته عن الاستهلاك الساعي الاعظمي في سنة الهدفالذي تُصمم منظومات توزيع مياه الشرب عليه. اي تغير قيم ونمط ومخططات الاستهلاك حسبما تفرضه ظروف الندرة المائية. 

يعتمد تصميم الشبكات فنيا واقتصادياً بشكلٍ كبير على خبرة المصمم في اختيار دقيق وواقعي للغزارة التصميمية لمجمل المنظومة ودقة التنبؤ بالأحمال أو السحوبات في عقد المنظومات. ومن أجل الوصول لتقديرٍ مقبول للغزارة التصميمية ولكميات السحب اعتمدت دراسات منظومات توزيع المياه المستمر على الطريقة الهندسية للتنبؤ بعدد السكان، بدلا من اعتماد طريقة تناسب واقع وطبيعة النمو السكاني لمنطقة الدراسة. وفي شروط الندرة المائية فإن دراسات منظومات توزيع المياه المتقطع تعتمد على القياسات الحقلية، وعلى نماذج حاسوبية، تختلف عن نماذج الجريان المستمر، بسبب كثرة العوامل المؤثرة، وتداخلها.  

ان اختيار الغزارة التصميمية في ظروف الندرة المائية يعتمد بشكل اساسي على خبرة المصمم، خاصة في ظروف التزويد المتقطع. لذلك يجري العمل على تطوير ادوات رياضية ونماذج محاكاة لتقدير السحب المستقبلي لمساعدة المصمم على التنبؤ بدقة باحتياجات المياه والغزارة التصميمية، حيث تُبنى النماذج، بعد تحديد العوامل المؤثرة وتحديد مساهمة كل عامل، باستخدام عدة تقنيات منها الانحدار Regression، والذكاء الصنعي AI. 

إن تحديد السحوبات في العقد في شروط التزويد المتقطع، وهو السائد في سورية، بشروط الضغوط المختلفة، ووجود خزانات، ومضخات في الأبنية، يتصف بأهمية خاصة في دراسة منظومات مياه الشرب بالتزويد المتقطع. وقد توصل البحث إلى انه من اجل تصميم فني اقتصادي افضل فانه يفضل اختيار اما الغزارة اليومية العظمى او متوسط الغزارة اليومية في شهور التحاريق كغزارة تصميمية. ويفض تصميم شبكات مياه الشرب على مراحل مع ضرورة اجراء المعايرة، مما يجعل التصميم واقعي ومجدي فنياً واقتصادياً.

كلمات مفتاحية: السحب، التزويد المتقطع، النمذجة الهيدروليكية، تحليل الأمثلية، الذكاء الصنعي




  • مقدمة:

إن حساب السحوبات ( الطلب على المياه) المتوقع استهلاكها، هو من أهم أسس تصميم وتحليل منظومات التزويد بمياه الشرب.

يكتسب تحليل وتحديد السحب أهميةً بالغة في دول الندرة المائية حيث تسود حالة التزويد المتقطع بسبب عدة عوامل منها نقص الموارد المائية، والنمو السكاني، وتؤدي هذه العوامل إلى مشاكل حادة في الدول النامية، أساسها عدم التوازن بين الطلب وكمية المياه المتوافرة. 

يفرض التوزيع المتقطع للمياه شروط تشغيل على منظومة التوزيع بعيدةً جداً عن شروط التصميم المعتاد. اذ تخضع المنظومة لفترات امتلاء وتفريغ، ويعمد المستهلكون إلى تركيب خزانات ومضخات، ويقوم البعض بحفر آبار خاصة، أو شراء المياه. بينما يفرض المصمم أن تعمل المنظومة بشكل مستمر وأن الموارد المائية كافية للمستهلكين. وعليه، تنشأ في منظومات التوزيع المتقطع ضغوط منخفضة وحتى سالبة، مما يؤدي إلى توزيع غير عادل للموارد المتوافرة. 

لهذا، من الضروري تصميم وإدارة منظومات توزيع المياه وفقاً للظروف التشغيلية المتوقعة مع اعتبار السحوبات الواقعية في حالة التزويد المتقطع، من أجل تحسين أداء المنظومة، وتوزيع الموارد المائية المتاحة بإنصاف. ولذلك، يتعين تصميم منظومات التوزيع المتقطع بطريقة مختلفة عن تلك المتبعة في تصميم منظومات التوزيع المستمر، وتحليل سيناريوهات العجز، ووضع حلول تصميمية استثمارية.

وعند تصميم منظومات التوزيع المتقطع وتحليل السيناريوهات يوضع بالحسبان أن السحب مفهوم مركب؛ لأن له مكونات جزئية، وبسبب كثرة العوامل المؤثرة وتداخلها. ومن أجل تحليل وتحديد السحب يلزم توافر قياسات، ومعطيات على امتداد منظومة التزويد ولفترات زمنية طويلة، وأدوات تحليل برمجية. 

 

  1. مشكلة البحث:

يشكل تحديد أو على الأقل تقدير كمية السحب بدقة، والتي على أساسها يمكن الثقة بالتحليل الهيدروليكي، مشكلة بحثية تجريبية وتحليلية مؤرقة للمهندسين مصممي منظومات توزيع المياه. فقياس السحب يحتاج إلى عدد كبير من عدادات المياه المعايرة والدقيقة والتي تجري عليها صيانة دورية. كما أن السحب يتغير خلال ساعات اليوم ومن يوم لأخر. وحتى تآلف عدة تقانات كالقياس والتحليل والمعايرة لتحديد السحب اجراء صعب لأنه يصعب تمييز السحب من التسرب. وتشير معظم القياسات الميدانية على أن الغزارة الساعية العظمى المقيسة في عشرات منظومات التوزيع لم تبلغ الغزارة اليومية العظمى المحددة بالتصميم. لذلك لا بد من إعادة النظر بقيمة الغزارة التصميمية، اليومية العظمى بدلا من الساعية العظمى، مما يؤدي إلى توفير أموال طائلة بتخفيض كلفة انشاء منظومات التوزيع. 


  • مواد البحث وطرائقه:

يهدف البحث إلى تحديد السحب بطريقة الانحدار في منظومات توزيع المياه المتقطع في ظروف الندرة المائية، لوضع معايير تساعد دارسي منظومات التوزيع بمياه الشرب في بلدان الفقر المائي على تحديد السحب كأساس للتصميم بجدوى فنية اقتصادية.

يبنى البحث على مجموعة من القياسات الموجودة في سجلات، إضافة إلى الطرائق الرياضية المتخصصة في استقراء تابع من مجموعة قيم، وبرامج متخصصة في التحليل الهيدروليكي، ومراجع عن استخدام الذكاء الصنعي في تطبيقات الهندسة المائية – الهيدروليك.

يستخدم البحث المنهج الاستقرائي التحليلي والمنهج التجريبي، فانطلاقا من قراءات عدادات مياه منزلية معايرة، ومنحنيات الاستهلاك اليومي في عدة منظومات توزيع في القطر، والمعايرة الهيدروليكية، تبين امكانية تحليل السحب إلى مكونات أولية، ومناقشتها للوصول إلى قيم مقبولة للسحب، ثم الاستقراء لوضع علاقات أمام مهندسي تصميم منظومات التوزيع.   


  • منهج البحث:
  1. أنماط السحب- والغزارة التصميمية (6,2):

بسبب الأهمية البالغة لقيمة الغزارة التصميمية في تخطيط وتصميم ودراسة منظومات توزيع مياه الشرب، وُضعت عدة صيغ لأنماط السحب وذلك لبناء واستقراء الغزارة التصميمية.

  • الغزارة السنوية الوسطية AAD: هي كمية المياه المستهلكة خلال سنة (وسطي عدة سنوات).
  • الغزارة الشهرية العظمى (MMD): هي كمية المياه المستهلكة في شهر الاستهلاك الأعظمي. 
  • غزارة أسبوع الذروة (PWD): هيكلية المياه المستهلكة في أسبوع يكون فيه السحب أعظمياً.
  • الغزارة اليومية الوسطية ADD: هي كمية المياه المستهلكة في سنة مقسمةً على 365 يوم. 
  • الغزارة اليومية الأعظمية MDD: هي كمية المياه المستهلكة في يوم يكون فيه الاستهلاك أعظمياً. وتراوح النسبة بين MDD وADD في المجال (1.5 3):

MDD=2*(ADD) (1)

  • الغزارة الساعية الأعظمية PHD: هي كمية المياه المستهلكة في ساعة يكون فيها الاستهلاك أعظمياً. وفي حالة عدم وجود معطيات، يمكن استخدام المعادلة التالية:

PHD=MDD/1440CN+F+18 (2)

حيث C F,  معاملان يتعلقان بعدد وصلات الخدمة  N.  

وتقابل انماط الغزارات انماط سحب مقابلة. كما أن أنماط السحب تُحسب للشخص، أو واحدة السكن المكافئ (ERU)، أو واحدة الاستهلاك المكافئ (ECU).

  • السحب غير السكني: هو استخدام المياه لأغراض الإنتاج في منشآت تشمل المرافق التجارية، والمنشآت الصناعية، والمرافق العامة، والمباني الترفيهية، والمستخدمين الكبار الآخرين. وتُحسب قيم السحب المقابلة لكل من ADD وMDD في هذه المنشآت بمساعدة مراجع مختصة (كودات) تعطي جداول تحوي متوسط الاستهلاك لإنتاج الواحدة.
  1. تغير السحب-الغزارة:

 يختلف السحب بشكل موسمي حيث يصل أدناه شتاءً وأعلاه صيفاً، ويختلف أيضا خلال ساعات اليوم، إذ تحدث الذرى النهارية صباحاً وبداية المساء، ويكون أقل استهلاك ليلاً. 

ينبغي أثناء حساب السحب والغزارة المستقبليان اعتبار التغيرات المتوقعة في السحب والغزارة وأنماطهما، الناتجة عن التحضر، وتأثير التغير المُناخي. 

ويشار إلى وجود فرق بين كمية المياه المباعة والكمية التي تدخل منظومة التزويد، ويمثل هذا الفرق المياه غير المحسوبة، التي يُفضل أن توضع بالحسبان أثناء التصميم. 

  1. نمذجة السحب -الغزارة المتوقع (5,4,1) :

تهدف نماذج توقع السحب والغزارة التصميمية إلى تحديد قيمهما المستقبلية كأساس لدراسة المشاريع المائية، وإلى وضع استراتيجية لضمان تزويد مياه مستدام، وتقليص الفارق بين كمية المياه المتوافرة والطلب عليها.

  • أسس التوقع:

عند اختيار طريقة التنبؤ بالسحب يوضع بالحسبان مبادئ توجيهية ( هدف التخطيط، والبيانات المتاحة)، وعوامل رئيسية (الموارد المتاحة، والعوامل الاقتصادية، والمُناخ)، وهي أرضية تساعد المصمم على تحليل عدة طرائق لاختيار طريقة مناسبة. 

  • آفاق التنبؤ بالسحب- الغزارة التصميمية:

يكون التنبؤ بالسحب والغزارة المتوقعة لفترات وأهداف متنوعة. فالتنبؤ قصير المدى يتوقع السحب والغزارة حتى أسابيع، مع اعتبار تغيرات الطقس، لتخطيط النفقات قصيرة الأجل. ويركز التنبؤ متوسط المدى، حتى 10 سنوات، على توقع السحب والغزارة لقاعدة مستهلكين متزايدة ببطء، ويضع بالحسبان تغير المُناخ وتغير قاعدة المستهلكين، والتغير الاقتصادي. ويمتد التنبؤ طويل الامد حتى 30 سنة، وهو الإطار الزمني لتصميم وإنشاء بنى تحتية لمشاريع التزويد بمياه الشرب.

يفيد التنبؤ بالسحب والغزارة على مستوى المدن أو الدولة في تقييم مدى مساهمة المياه في التنمية الاقتصادية مستقبلاً، وفي توجيه القرارات الاستثمارية والاستراتيجية. 

  • تصنيف نماذج التنبؤ بالسحب والغزارة:

طوَّر الباحثون مجموعة نماذج للتنبؤ بتطور السحب والغزارة مستقبلا، وقد صُنفت بعد تحليلها ومعايرتها في خمسة صفوف.

  1. نماذج الاستقراء الزمني   Temporal extrapolation models: تستند هذه النماذج على أن السحب والغزارة المستقبلي يعتمد على تطور السحب زمنياً. 
  2. نماذج تعتمد على المستهلك  Models based on unit demand: ترتكز هذه النماذج على تقدير السحب والغزارة المستقبلي بتوقع التغير على سحب المستهلك ( شخص أو آلة). 
  3. نماذج إحصائية بعدة متغيرات Multivariate statistical models: تستند هذه النماذج على إيجاد علاقة إحصائية بين السحب او الغزارة والمتغيرات المؤثرة.  
  4. نماذج المكونات الصغرى  Micro-component modeling: تقيم هذه النماذج السحب الكلي والغزارة من خلال محاكاة تفصِّل طرائق وكميات وأنماط استهلاك مياه الشرب في كل القطاعات (السكنية والصناعية والتجارية والخدمية). 
  5.   نماذج توقعات التحضر   Estimation based on projections for urbanization: تستند هذه النماذج على أن السحب والغزارة المستقبلي يعتمد على التخطيط الحضري. 

إضافة إلى الصفوف الخمس يوجد النماذج المركبة Composite models التي تجمع عدد من النماذج السابقة. 


  • نماذج تقدير السحب والغزارة والتنبؤ بهما: 

من بين النماذج التي هي موضوع بحث وتحليل ومعايرة، واكتسبت ثقة المهندسين: نموذج الانحدار، ونموذج الشبكة العصبية الصنعية، والبرمجة الديناميكية لحساب السحب والغزارة التصميمية الأمثليان.

  • نموذج الانحدار Regression: 

استخدمت عدة دراسات الانحدار الخطي وغير الخطي لإنشاء نماذج استهلاك المياه.  تعتمد نماذج الانحدار الخطي على عوامل تأثير يمكن تقريبها خطياً كمتغيرات مستقلة. ويمكن التعبير عن السحب بنموذج الانحدار الخطي الآتي:

 

y=c+w1 x1+ w2 x2+…+wp xp  (3)

 

حيث y استهلاك الشخص، وwi الأوزان، وxi عامل التأثير i، وC ثابت. 

وبما أن العلاقة بين السحب او الغزارة، وعوامل التأثير ليست خطية تماماً، ولوصف السحب بدقةٍ، يُستخدم الانحدار غير الخطي:

 

y=c. x1c1. x2c2.….xpcp                (4)

 

حيث ci وزن العامل i في الانحدار.

  •  الشبكات العصبية الصنعية (ANNs): 

على الرغم من استخدام الاحصاء التقليدي، والاستقراء الزمني على نطاقٍ واسع في أوائل القرن 20 للتوقع، فإنها قليلة الاستخدام في الدراسات الحالية، وبالمقابل، تُعد الشبكات العصبية الصنعية (ANNs) طرائق سريعة ومرنة للتنبؤ بفعالية بالسحب والغزارة التصميمية، وتستطيع ربط مجموعات البيانات الكبيرة والمعقدة.

تُستخدم (ANN) لتطوير نماذج نوعية مياه الشرب، و (ANN) متعدد الطبقات في النمذجة الهيدرولوجية.

حيث f ( ) هو تابع نقل، وxi عوامل التأثير، aij, bjk  الأوزان، وa0j وb0k ثوابت.

التابع  f ( )هو قاعدة تحويل المدخلات إلى مخرجات، وتابع التحويل غير الخطي الأكثر شيوعاً في دراسات (BPNN) هو: 

يستخدم (BPNN) طريقة التدرج للتدريب خلال كل دورة تعلم ويحصل على الأوزان aij, bjk. ولزيادة الدقة يمكن اجراء تغذية راجعة للنتائج المرحلية من كل دورة تعلم إلى الطبقة الخفية. 

  •  البرمجة الديناميكية لأمثلية السحب والغزارة التصميمية:

تساعد البرمجة الديناميكية على تقدير السحب والغزارة مكانياً وزمنياً، اذ تعتبر كل من العوامل الرئيسية كمرحلة stage، والمحاكاة بالأمثلية العودية Recursive Optimization. 

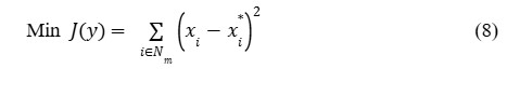
يمكن حل المعادلات التي تصف السحب والغزارة، باستخدام معطيات قياس الضغط / الغزارة، كمسألة سحب -غزارة أمثلي (تابع هدف أصغري) كما يأتي:

حيث السحب في العقدة y=(y1,y2,…,yi,…)  أحد متغيرات القرار، وpi*  قياس الضغط في العقدة i، وpi  قيمة الضغط تحليلياً، وpsj, pej الضغط في بداية ونهاية الأنبوب j، وxi الغزارة التحليلية في الأنبوب i، وNm مجموعة العقد مع مقياس ضغط، wi الغزارة الخارجة من الخزان i. وفي حال وجود أجهزة قياس غزارة في الأنابيب، يُضاف حدٌ ثانٍ هو مجموع مربعات الفرق بين قيم الغزارات xi* المقيسة والقيم التحليلية.

 أي إن مسألة تحديد السحب والغزارة التصميمية الأمثلي هي مسألة القيمة الصغرى للفرق بين القيم المحسوبة والمقيسة، مع قيود معادلات انحفاظ الغزارة والطاقة.

ولكن، في منظومات توزيع تحوي مئات أو آلاف العقد، تُثبت أجهزة القياس فقط في عدة عشرات من العقد المختارة، وتُقَّسم منظومة التوزيع إلى عدة مناطق سحب.

وعليه، تعدل صياغة مسألة السحب-والغزارة الأمثلي بإضافة المعادلات الآتية:

حيث Yk السحب في المنطقة k، وL  عدد مناطق السحب، وNk مجموعة العقد التي تنتمي لمنطقة السحب k، وγik  نسبة السحب في العقدة i إلى السحب في المنطقة k. ومنه يمكن تشكيل العلاقة الآتية: 

إن تحليل منظومة الأنابيب هو تحليل جريان مستقر، خلال فترة زمنية معينة، ويمكن الحل وفق الخوارزمية الآتية:

  1. وضع قيم أولية للسحب مناطقياً.
  2. تحليل المنظومة ستاتيكياً لتحديد الغزارات والضغوط في العقد.
  3. حساب المعادلة (7) باستخدام قيم الضغوط التحليلية والقيم المقيسة.
  4. اذا كانت القيمة أقل من قيمة معينة، إنهاء، وإلا الانتقال للخطوة التالية. 
  5. تحديث السحب الأولي في مناطق السحب باستخدام طريقة سيمبلكس .Downhill-Simplex
  6. تعديل الغزارات لتحقيق معادلة توازن الغزارات.
  7. تحليل المنظومة من أجل السحوبات في المنطقة الحالية بخوارزمية .Gradient Algorithm
  8. العودة إلى خطوة (3).


  • المعايرة الأمثلية بخوارزميات جينية: 

عند تحليل منظومة توزيع بالطرائق التقليدية يبرز فرق بين القيم التحليلية، والقيم المقيسة للغزارات والضواغط، ويُعزى هذا الفرق إلى اختلاف السحب في العقد.

ولجعل الفرق بين القيم التحليلية، والقيم المقيسة أصغر ما يمكن،  تُستخدم معايرة داروين، وهي طريقة بحث خوارزمية جينية GA تستند على مبادئ التطور الطبيعي. تُعد GA  مناسبة تماماً لحل مسائل معادلاتها الرياضية غير محدبة، وبقيم أمثلية محلية متعددة، وتقع معايرة منظومة توزيع المياه في فئة هذه المسائل. 

تُنشئ GA تابع لياقة Fitness، وفقا للأهداف المحددة لمسألة الأمثلية، ويحدد هذا التابع انتقال الحل إلى جيل جديد. 

توجد عدة صيغ لتابع اللياقة في مسألة أمثلية السحب والغزارة، تُشتق من مجموع مربعات الفرق، أو من مجموع القيم المطلقة للفرق، أو من الفرق الأقصى بين القيم المحسوبة والمقيسة.

حيث  Hobsnh  التدرج الهيدروليكي المقيس، وHsimnh  التدرج الهيدروليكي المحسوب، وFobsnf  الغزارة المقيسة، وFsimnf  الغزارة المحسوبة، وHpnt  التدرج الهيدروليكي لكل نقطة لياقة، وFpnt  الغزارة لكل نقطة لياقة، وNH عدد قيم الضواغط المقاسة، وNF عدد قيم الغزارات المقاسة، وWnh  وWnf  عاملا ترجيح لقيم الضغوط  والغزارات المقيسة ويُعطيان بالصيغتين:

  1. السحب في شروط تزويد متقطع(3) :

يفيد تحليل السحب والغزارة في منظومات التوزيع المتقطع في تقييم تأثير شروط الندرة على السحب والغزارة، وعلى كفاءة منظومة التوزيع. 

عند تحليل منظومات التوزيع يُفترض أن السحب ثابت لفترة معينة، أو يتغير خلال ساعات النهار بتغير الاستهلاك، وهو ما يدعى التحليل المقاد بالسحب DDA demand driven analysis الذي يمكن أن يؤدي في منظومات التوزيع بالتزويد المستمر أو المتقطع إلى ضغوطٍ منخفضةٍ أو حتى سالبة. ومنذ 1980، اقترح باحثون طرائق مختلفة لحساب السحب الفعلي، وطرائق لحل منظومات التوزيع بالتزويد المتقطع هي التحليل المقاد بالضاغط PDA pressure driven analysis.

  1. نمذجة السحب في التزويد المتقطع:

يتأثر السحب من العقد بعدة عوامل أهمها الضغط في عقد الشبكة القريبة والسحب المباشر من الأجهزة الصحية، ووجود خزانات منزلية و/أو مضخات، ووجود تسرب. 

تفرض معظم النماذج المقترحة للسحب علاقة بين الضغط والسحب في العقد، مع اعتبار وجود خزانات منزلية ومضخات، حيث يتم نمذجة الخزانات المنزلية استناداً على معادلة الاستمرار في الخزان، وقانون الجريان عبر سكر كما يأتي:

حيث hmin وhmax أصغر وأكبر عمق للماء في الخزان ، وCv*  وa* معامل السرعة ومساحة المقطع السكر وهو مفتوح بالكامل، وm, n معاملان يأخذا قيمهما في المجال (0.5 – 2).  

ونظراً لصعوبة إيجاد قيم البارامترات وحل معادلات السحب، اقتُرح عدد من العلاقات التجريبية الواردة أدناه.  

أيقن Bhave  أنه لا يمكن إجراء التحليل المقاد بالسحب عندما تكون الضواغط الناتجة أقل من الضواغط المطلوبة، واقترح العلاقة الآتية بين الضاغط والسحب:

 

      qjavl=0               If  Hjavl< Hjmin      (20a)

      qjavl=qjreq         If  HjavlHjmin      (20b)

حيث qjavl السحب الفعلي، وHjavl  الضاغط الفعلي، وqjreq السحب المطلوب، وHjmin الضاغط الأصغري المطلوب.    

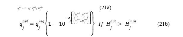
من جهة أخرى اقترح Germanpoulos علاقة ضاغط-سحب عند ضواغط مختلفة: 

حيث Hjdes الضاغط المطلوب لتحقيق السحب qjreq، وcj عامل معايرة تراوح قيمته في المجال (5-1).

كما اقترح Wagner et al علاقة ضاغط-سحب، مع تغير الضاغط بين Hjmin وHjdes

واقترح Reddy and Elango تابع ضاغط-سحب بدون حد للضاغط، وفرض أن للمستهلكين خزانات خاصة عندما تمتلئ  يتوقف السحب، كما يأتي:

وعندما يكون التزويد المتقطع دورياً ولدى المستهلكين خزانات ومضخات، يلزم تعديل تابع Reddy & Elango  للوضع في الحسبان امكانية أن يأخذ الضاغط قيماً أقل من الحد الأدنى المطلوب. ولذلك، اقتُرح تعديل المعادلة (23b) بوضع  Hjmin=0:

  1. اجراء قياسات:

اجرى الباحث بضعة قياسات للسحب وللضغط واطلع على سجلات قياسات للسحب وللضغط باستخدام عدادات مياه ومقياس ضغط معايرة، في عدة أحياء من مدينة دمشق ومدينة حمص ومدينة حلب، وذلك لتحديد كميات الاستهلاك الفعلية وتابعيتها للضغط، وكانت معظم القياسات في ظروف التزويد المستمر والقليل في ظروف التزويد المتقطع، في أشهر التحاريق وأكثر الأيام استهلاكا للمياه (غزارة يومية عظمى)، والاطلاع على مخطط الاستهلاك الساعي في ايام الاستهلاك الأعظمي. وقد تبين نتيجة معالجة المعطيات بطريقة التربيعات الصغرى أن تابع ضاغط-سحب المقترح من قبل Reddy and Elango  مناسب في حالة التزويد المستمر ومقبول في حالة التزويد المتقطع في شهور التحاريق مع التركيز على أيام الاستهلاك الأعظمي. بناء على القياسات، واجراء تحليل PDA وأخذ نسب تسرب بحدود 60% موزعة على عقد منظومة التوزيع بالتساوي، تبين أن الاستهلاك اليومي الأعظمي والساعي الأعظمي المقيس أصغر من الاستهلاك اليومي الأعظمي التصميمي، وان الاستهلاك الساعي الأعظمي المقيس يقارب الاستهلاك اليومي الأعظمي التصميمي. فالاستهلاك اليومي الوسطي في مدينة مشق هو بحدود 550000 m3/day ومعامل عدم الانتظام اليومي التصميمي Kd=1.25 اي ان الاستهلاك اليومي الأعظمي التصميمي 687500 m3/day، بينما الاستهلاك اليومي الأعظمي المقيس كان 638000 m3/day  أي أن عدم الانتظام اليومي المقيس  Kd=1.16 . وبلغ الاستهلاك الساعي الاعظمي المقيس مضروبا * 24 ساعة 678500  m3/day أي بمعامل عدم انتظام ساعي فعلي  Kh=1.23.    

 

  1. النتائج:

يتبين من القياسات التي اجراها الباحث وبشكل رئيسي القياسات التي اطلع عليها من مؤسسات مياه الشرب في القطر، ومن نتائج التحليل الهيدروليكي اعتمادا على PDA وتابع ضاغط-سحب المقترح من قبل Reddy and Elango  في حالتي التزويد المستمر والتزويد المتقطع، أن الغزارة الساعية العظمى المقيسة الفعلية أصغر من قيمة الغزارة الساعية العظمى التصميمية والتي تعتبر الأساس في تصميم منظومات توزيع المياه، بل وأصغر من الغزارة اليومية العظمى الحسابية. وكان واضحا، من خلال نتائج القياسات في منظومات توزيع مياه الشرب لبلدات في ريف دمشق وريف حمص، أن هذه النتيجة، أي أن الغزارة الساعية العظمى المقيسة أصغر من الغزارة الساعية العظمى التصميمية، محققة أيضا في منظومات توزيع مياه هذه البلدات. وقد تبين أيضا، وذلك بعد سؤال رؤساء وحدات المياه والمستهلكين، أن كميات المياه الواصلة للمستهلكين في أيام الاستهلاك الأعظمي مقبولة نوعا ما، رغم ان كمية مياه الشرب المتوافرة للاستهلاك في شهور التحاريق قليلة.  

 

  1. المناقشة:

يتضح من نتائج القياسات والتحليل الهيدروليكي أن الغزارة الساعية العظمى الفعلية أصغر من الغزارة الساعية العظمى التصميمية التي تصمم منظومات توزيع المياه بناء عليها. وإذا أخذنا بالاعتبار أولا الكلف الاضافية نتيجة تصميم منظومات توزيع المياه على غزارة ساعية عظمى تصميمية أكبر من الغزارة الساعية العظمى الفعلية، وثانيا الكلف الاضافية بسبب البحث عن مصادر مياه تعطي الغزارة الساعية العظمى التصميمية، وما ينجم عنها من محطات وخطوط ضخ. وبناء عليه فان اعتماد الغزارة الساعية العظمى المقيسة الفعلية كغزارة تصميمية تعطي تصميما أفضل من الناحيتين التقنية والاقتصادية.


  • الخاتمة:

ان اعتماد ما توصل إليه البحث الغزارة الساعية العظمى الفعلية كغزارة تصميمية يؤدي لتصميم ودراسة أفضل تقانيا وأقل كلفة اقتصادية. أيضا يفضل اعتماد الدراسات والتصاميم على التحليل الهيدروليكي  PDA بدلا من DDA، لأنه يعطي قيما أدق للحمولات أي السحب للمستهلكين، وأن يؤخذ بالاعتبار التسرب كحمل يحمل على العقد وهذا يرفع من موثوقية الدراسة ويزيد الجودة. إن أخذ هذه العوامل مجتمعة يضمن دراسة فعلية قريبة من الواقع وأفضل تقانيا واقتصاديا. 


  •  التوصيات:

توصل البحث نتيجة القياسات والتحليل إلى أن اعتماد قيم السحب الساعي الأعظمي أقل من السحب التصميمي، واعتماد التحليل PDA مع تابع محدد سحب- ضغط وأخذ نسب معقولة للتسرب، يضمن تصميم أفضل، وعليه يوصي البحث ما يأتي:

  1. عند اجراء الدراسات والتصاميم لمشاريع منظومات توزيع المياه يفضل اعادة النظر بالقيم التصميمية المؤثرة كالسحب الساعي الاعظمي حيث تبين أنه أصغر من القيم التصميمية في الكودات بسب حالة الفقر المائي وتعود المستهلكين على ثقافة استهلاك أقل.
  2. عند اجراء الدراسات والتصاميم لمشاريع منظومات توزيع المياه يفضل اعتماد تحليل PDA واخذ قيم تسرب مقبولة مما يجعل التحليل والتصميم أقرب الى الواقع.

 

  1. المراجع:

 

1-An-Chi Huang 1, Tzong-Yeang Lee 2, Yu-Chen Lin 3, *, Chung-Fu Huang 1 and Chi-Min Shu 4: Factor Analysis and Estimation Model of Water Consumption of Government Institutions in Taiwan. Water 2017, 9, 492; doi:10.3390/w9070492.

2-Arunkumar M.1, Nethaji Mariappan V.E.: WATER DEMAND ANALYSIS OF MUNICIPAL WATER SUPPLY USING EPANET SOFTWARE. International Journal on Applied Bioengineering, Vol. 5, No.1, Jaunary 2011.

3- C. M. Fontanazza, G. Freni & G. La Loggia: Analysis of intermittent supply systems in water scarcity conditions and evaluation of the

resource distribution equity indices. WIT Transactions on Ecology and the Environment, Vol 103, © 2007 WIT Press, ISSN 1743-3541.

4- Jean-Daniel Rinaudo: Long-Term Water Demand Forecasting. Understanding and Managing Urban Water in Transition, p 239-268, 2015, <10.1007/978-94-017-9801-3 11>. <hal-01183853>.

5-T. SEKOZAWA, K. MASUDA, T. MURATA: Pipe Network Analysis for Demand Estimation in Water Distribution Network. Advances in Neural Networks, Fuzzy Systems and Artificial Intelligence, ISBN: 978-960-474-379-7

6-WATER DEMAND REQUIREMENTS, Water System Design Manual August 2001.