بقلم م. محمد أنس الشردوب
تمهيد (ملخص البحث)
بحسب الكود العربي السوري لتصميم وتنفيذ المنشآت بالخرسانة المسلحة، يتطلب تصميم الشيناجات (الجوائز الأرضية) أن يتم اعتبارها مثل بقية الكمرات، بالإضافة لتنفيذ مجموعة من التوصيات والمتطلبات المنتشرة في الكود العربي السوري ومجموعة ملاحقه، ومع تنفيذ هذه المتطلبات تنشأ أيضاً مجموعة من الاعتبارات الهندسية لتحقيق هذه الدراسة، هذا البحث هو تابع لما بدأته في العدد السابق.
المقدمة
يعد تصميم الشيناجات مسألة متنوعة ودراسة هندسية إنشائية تحتاج تجميع التوصيات والمتطلبات التي أشرت لها في مقالتي السابقة (التي تم نشرها في العدد السابق – العدد الأول بعد التحرير) وكذلك تحتاج النظر في مجموعة من الاعتبارات الخاصة بالدراسة وتنفيذها بالشكل الصحيح.
الغطاء الخرساني:
في البداية، لابد من الإشارة لأمر مهم وهو تحقيق الغطاء الخرساني لحديد التسليح وذلك بالتزامن مع تصميم أي مقطع خرساني، لتوفير حماية حديد التسليح لضمان استمراره بأداء عمله، وكذلك توزيع التسليح الطولي والعرضي ضمن المقطع، وتحقيق التباعدات والاشتراطات التنفيذية.
في الملحق رقم (3) الخاص بالرسومات والتفاصيل (الإنشائية) وضمن لوحة الملاحظات العامة (صفحة 5) إشارة لسماكات التغطية (بحسب نموذج الملاحظات التنفيذية) وفيها أن سماكة التغطية للأساسات مثلاً هي 5سم
أما في الكود الأساسي للتصميم والتنفيذ، نجد أن السماكات الخاصة بالتغطية، قد تم توضيحها بما يخص مقاومة الحريق ضمن الجداول في فقرة مقاومة الخرسانة للحريق، وكذلك ضمن الفقرة الخاصة بمقاومة الخرسانة للمواد الكيميائية تطلبت أيضاً تحقيق الاشتراطات المتعلقة بالغطاء الخرساني الخاصة بمقاومة الحريق وهي مجموعة جداول توضح قيمة السماكة ومدة الحماية وترتبط أيضاً بحالة وجود طبقة حماية إسمنتية أو جصية، كما في الجدول (2-4) التالي:
الجدول (2-4): سماكة التغطية الخرسانية الدنيا لفولاذ التسليح في الجوائز | ||||
وصف الخرسانة | سمك الغطاء الخرساني الأدنى بالميليمتر الذي يحقق مقاومة للحريق لفترة قدرها (h) | |||
0.5h | 1h | 2h | 4h | |
خرسانة من دون حماية إضافية | 15 | 25 | 50 | 65 |
خرسانة مع طبقة حماية إسمنتية أو جصية بسمك 15مم على شبك تسليح خفيف | 15 | 15 | 40 | 50 |
خرسانة مع طبقة حماية من الأسبستوس* سمكها 15مم | 15 | 15 | 15 | 25 |
*الأسبستوس: هي مادة على شكل ألياف من مجموعة معادن سيليكات المغنيسيوم غير النقية تستخدم كمادة عازلة لمقاومة الحريق، تم الحد من استخدامها في كثير من البلدان نتيجة التأثيرات الخطيرة على الصحة في حال التعرض لكميات كبيرة منها، تعمل وزارة الطاقة السورية على التنبيه على مخاطرها وتنفيذ الدورات التدريبية للتخلص منها كما في الرابط التالي: وزارة الطاقة السورية تنظم دورة تدريبية حول إدارة مادة “الأسبستوس” وخطرها على الصحة العامة
بالعودة للمصدر الأسبق، تشير الملاحظات العامة في ملحق الرسومات بأن السمك الأدنى للغطاء الخرساني لقضبان التسليح للشيناجات بأنه 50 مم، مع ملاحظة توصيات تقرير التربة، أما بالنسبة للرسومات والمقاطع فهي توضح أن تغطية الخرسانة للأساسات يساوي 5 سم (بشكل صريح) وهي 2.5 سم للشيناجات (بشكل ضمني حسب تفريد التسليح).
علماً أن الشيناجات هي تتبع المواصفات البعدية والاشتراطات العامة للكمرات بحسب الكود، وذلك كما تم الإشارة لها في المقالة السابقة.
يتبع هذا الموضوع من وجهة نظر الباحث مجموعة من الاعتبارات للتربة (للحفرية أو الردم) وكذلك نوعية الخرسانة (مقاومة للكبريتات ومحتوى السيلكا)، رطوبة التربة والمحتوى المائي، جودة التصنيع والتنفيذ (خلطة جاهزة أو صب في المكان)، بالإضافة لحالة العزل (دهان بيتومين أو معجونة أسمنتية عازلة، أو شرائح البيتومين). ويجب تضمينها ضمن الفقرة الخاصة بديمومة Durability الخرسانة كما هو الحال في الكود الأمريكي “ACI CODE-318-25” الذي يشير بوضوح لسماكات التغطية ضمن جداول متنوعة بحسب الخرسانة وأنواع العناصر المصبوبة وهي تتحدد أيضاً بحسب أقطار التسليح المستخدمة، كالجدول التالي (Table 20.5.1.3.1)
Table 20.5.1.3.1 Specified concrete cover for cast-in-place non-prestressed concrete members | |||
Specified cover, in. | Reinforcement | Member | Concrete exposure |
3 | All | All | Cast against and permanently in contact with ground |
2 | No. 6 through No. 18 bars | All | Exposed to weather or in contact with ground |
1-1/2 | No. 5 bar, W31 or D31 wire, and smaller | ||
1-1/2 | No. 14 and No. 18 bars | Slabs, joists, and walls | Not exposed to weather or in contact with ground |
3/4 | No. 11 bar and Smaller | ||
1-1/2 | Primary reinforcement, stirrups, ties, spirals, and hoops | Beams, columns, pedestals, and tension ties | |
وفي النموذج التالي “من أحد المخططات لبرج سكني” توضيح متطلبات التغطية الخرسانية المطلوبة بحسب طبيعة وحالة المشروع:
المجاز (البحر) الحسابي:
أو الطول الفعال “L”، وهو الطول المرتبط بفتحة الكمرة، وسيرتبط بهذا المجاز تحديد عمق الكمرة (وتقدير أبعاد مقطع الجائز) وحساب القوى المؤثرة على المقطع وتصميمه، علماً أن طريقة حساب المجاز الفعال تشترك فيها الجوائز بشكل عام مع الأعصاب والبلاطات، بالتالي سنخصصها للشيناجات ضمن الحالتين التاليتين:
الحالة الأولى: المسند مصبوب مستمراً (ميثيلياً) مع الشيناج، هذه الحالة نلاحظها على الأغلب إذا تم سند الشيناج بشكل مباشر على رقاب الأعمدة، وتم صبهما معاً وهو بهذه الحالة الخاصة الشيناج مسنود على رقبة العمود ومصبوب معه، يتم اعتبار المجاز الحسابي القيمة الأصغر من القيم التالية:
- المسافة بين محوري الركيزتين (L)
- المسافة الحرة بين الركيزتين (L0) مضافاً لها العمق الفعال “d”.
- المسافة الحرة بين المسندين مضروبة بالمعامل “1.05”.
الحالة الثانية: الصب غير مستمر، قد يكون الشيناج إما على العمود (رقبة العمود) أو مسنود مباشرة على سطح الأساس (المصبوب مسبقاً) وهي الحالة العامة، في هذه الحالة يتم اعتبار المجاز الحسابي مساوٍ للبعد المحوري.
علماً أن نسخ الكود تسمح بحسب ملاحظة موجودة ضمن حالات العنصر الظفري (مثلاً صفحة 124 في النسخة الحالية من الكود) أن يتم اعتبار الصب مستمراً (ميثيلياً) إذا تم تخشين السطح وتنظيفه مع تنفيذ روبة اسمنتية فوقه أثناء الصب.
الملاحظة السابقة يتم اعتبارها كملاحظة عامة ضمن المراجع وكتب البيتون ومنشآت الخرسانة، وهي متوافقة مع متطلبات ربط الشيناجات بالأساسات المذكورة في الملحق رقم 2 (تصميم وتحقيق المباني والمنشآت المقاومة للزلازل) بحسب الفقرة (ب) الخاصة بتنفيذ الشيناجات:
“يفضل أن يكون المنسوب لأسفل الشيناج هو منسوب السطح العلوي للأساسات ذاتها، ويفضل ترك تشاريك على سطح الأساسات لتأمين الربط الكافي بين الشيناجات والأساسات. ويمكن تخفيض منسوب أسفل الشيناجات بحيث يكون على منسوب أعلى بقليل من السطح السفلي للأساسات المسلحة، وهذا يؤمن أفضل ربط للأساسات. ويمكن أخذ منسوب أسفل الشيناجات عند منسوب السطح السفلي للأساسات. وفي هذه الحالة تعمل الشيناجات كأجزاء رابطة بين أساسات مشتركة إذ ينتج تحتها إجهادات من رد فعل التربة يتوجب أخذها بالحسبان عند تصميمها.”
تأثير عرض الاستناد:
بحسب الكود، عندما تكون العزوم السالبة في الجوائز المستمرة محسوبة وفق الأبعاد المحورية للمساند، فيمكن تعديل قيمة العزم السالب في المسند الداخلي باعتبار رد فعل المسند موزعاً على عرضه بصورة منتظمة مما يسبب عزماً معاكساً للعزم السالب فوق المسند حيث قيمة التخفيض تساوي قيمة رد الفعل للجائز مضروبة بعرض الاستناد على 8 أي بالشكل: وهي هنا قيمة كبيرة لأن عرض الاستناد (عرض الأساس) كبير نسبياً.
وبحسب الافتراضات الأساسية في تحليل المنشآت في الكود، بأنه نتيجة لعدم انسجام سلوك مادة الخرسانة مع فرضيات نظرية المرونة، فإنه يتم تخفيض قيمة العزم السالب (المحسوب بالطريقة الدقيقة) بنسبة بحسب قيم تسليح المقطع (عند المسند) بالقيمة: ، ويمكن فرضها قبل حساب التسليح بقيمة 20% وزيادة العزم الموجب بقيمة التخفيض الناتجة (أي تعديل العزوم)، راجع (بيتون مسلح – 2 د. علاء الدين ناصر، د. يوسف الرغبان)
أما بالنسبة للمقطع الحرج لعزم الانعطاف (السالب) عند المساند في الجوائز المستمرة فهي على وجه الاستناد وذلك عند اعتبار الصب مستمراً (أو إذا كان المسند ذي ارتفاع لا يقل عن مثلي ارتفاع الجائز).
تحديد أبعاد مقطع الشيناج:
بحسب متطلبات الكود فإن الأبعاد يجب ألا تقل عن 20 سم، وبحسب اشتراطات الملحق رقم (ز) في الكود الأساس، بأن لا يقل أصغر بعد للشيناج المسافة الصافية بين الأعمدة مقسومة على 20 ولا داعي أن يتعدى 45 سم، ويتم تحديد ارتفاع المقطع الأصغري بتحقيق شرط السهم بحسب فقرة الاشتراطات البعدية للجوائز ذات المقطع المستطيل في الكود، لكن نذكر بالملاحظة عن إمكانية تقليل طول المجاز (في حالة كانت المسافات بين الأعمدة كبيرة) بإضافة أساس وسطي (أو أكثر) من الخرسانة العادية كما ورد في المقالة السابقة.
اشتراطات حديد التسليح:
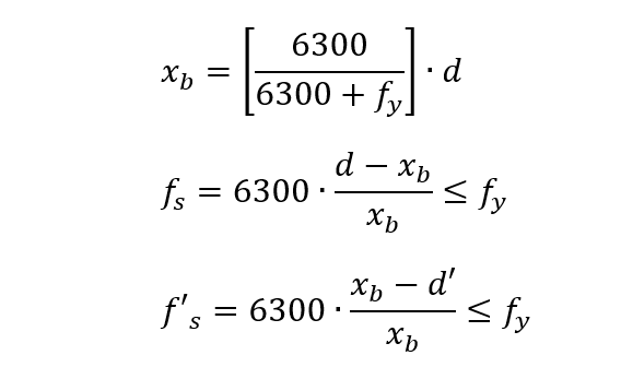
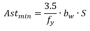
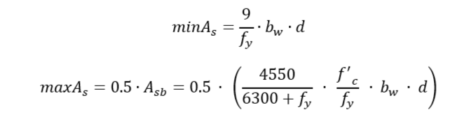
في الكمرات يجب ألا تقل مساحة تسليح الشد (الناتج عن الانعطاف) في أي مقطع (كافة العلاقات هي بالواحدات المترية كغ، سم) عن القيمة التالية: على أن يتم زيادة هذه النسبة بقيمة 20% إذا كان الجائز ضمن الإطارات المقاومة للزلازل بحسب الكود، ويمكن تخفيض المساحة السابقة في الجوائز ذات القطاع الأكبر مما هو مطلوب للمقاومة على ألا تقل عن 1.33 مرة مساحة التسليح المطلوب في المقطع الحرج، ولا عن ثلثي القيمة المحسوبة في العلاقة الأخيرة.
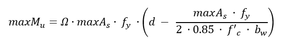
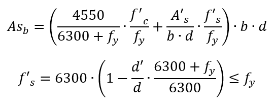
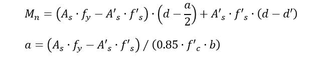
لا تزيد مساحة تسليح الشد في المقاطع أحادية التسليح عن نصف مساحة التسليح التوازنية: maxAs≤0.5Asb يمكن زيادتها بحسب الكود إلى القيمة 0.75Asb شريطة حساب السهم وعدم إجراء إعادة توزيع عزوم للجوائز المستمرة، ووضع كمية تسليح ضغط دنيا بحيث تتحقق As-A’s≤0.5Asb علماً أن مساحة التسليح التوازنية تعطى بالعلاقة التالية في حالة مقطع مستطيل تسليح شد فقط:
أما في حالة مقطع مستطيل بتسليح شد مع ضغط فتعطى بالعلاقة التالية:
يجب ألا يقل قطر التسليح الطولي عن 12مم، وعند استخدام أكثر من قطر لقضبان التسليح الطولي ألا تزيد الفروقات عن درجتين وذلك لغاية القطر 20مم مثلاً Ø12، Ø16، أما الأقطار الأكبر فيفضل استخدام القطر الذي يليها مباشرة مثلاً Ø22، Ø25. وذلك لأن إجهادات التلاحم تكون أكبر حول السيخ ذي القطر الأكبر فيحصل نوع من عدم التناظر في الإجهادات، وأيضاً بسبب خطورة أن يدخل فولاذ السيخ ذي القطر الأقل بمرحلة السيلان في حين عدم وصول إجهاد السيخ ذي القطر الكبير إلى إجهاد الخضوع (بيتون مسلح – 2 د. علاء الدين ناصر، د. يوسف الرغبان)
بالنسبة للمسافات المسموحة بين الأسياخ، ألا يقل الفراغ الأفقي eh بين كل سيخين متجاورين عن القيمة التالية:
ولا يقل الفراغ الرأسي ev بين كل سيخين متجاورين عن القيمة التالية:
أما بالنسبة للتسليح العرضي، فيجب ألا يقل قطر التسليح العرضي (الأساور) عن ثلث أكبر قطر للحديد الطولي ولا عن 6مم، ويجب ألا تزيد المسافة الأفقية بين كل فرعين متجاورين عن نصف الارتفاع الفعال (d/2) ولا عن 30سم، وفي حالة الجوائز المسلحة على الضغط يجب أن تطوق الأساور كامل المقطع وألا تزيد المسافة بينها عن 15 مرة قطر السيخ المضغوط، أو 20سم أيهما أقل، وذلك ضماناً لعدم تحنيب قضبان الحديد المضغوط.
عند استخدام أسياخ التسليح المكسحة يراعى أن تكون من الأسياخ الداخلية وبشكل متناظر ضمن المقطع، وألا تقاوم أكثر من نصف الإجهادات المماسية.
أما في الملحق (ز) فإن الأساور يجب أن تكون مغلقة بتباعد لا يتعدى نصف البعد الأصغر للمقطع المتعامد أو 30سم.
بالنسبة للتسليح الثانوي، وهو التسليح غير المحسوب، ويوضع للتعليق أو للتقلص، أسياخ التعليق تستخدم لربط الكانات في القسم المضغوط من مقطع الخرسانة، بحيث تحقق الاشتراطات التالية: القطر لا يقل عن نصف قطر أسياخ تسليح الشد الأكبر ولا يقل عن 10مم، عددها لا يقل عن سيخين (أي سيخ في كل زاوية أسوارة)، يستغنى عنها في حالة وجود تسليح طولي (كاستمرار التسليح الطولي في المساند)، لا تقل مساحة أسياخ التعليق الكلية عن 20% من مساحة تسليح الشد الرئيسي.
أسياخ التقلص في الأوجه الجانبية الخارجية لجسد الجوائز، عندما يزيد ارتفاع الجائز عن 60سم أو تزيد مساحة مقطعه عن 0.2م2، أقطار قضبان التقلص بنفس اشتراطات أقطار تسليح التعليق، لا يزيد تباعدها شاقولياً عن 30سم، ولا تقل نسبة مساحة تسليح التقلص عن 1‰ من المساحة الفعالة للمقطع (0.001b.d)
مركز المقطع البلاستيكي:
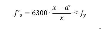
في حالة المقطع المسلح بشكل غير متناظر، وعند تطبيق قوة محورية، تنشأ لا مركزية نتيجة عدم تطابق مركز المقطع البيتوني مع مركز مقطع قضبان التسليح الطولي، يتم حساب قيمة اللامركزية بموازنة قيم القوى الداخلية في المقطع، كما في (بيتون مسلح – 2 د. ريم خرتش)
منهجية دراسة الانعطاف المركب لحالة الشيناجات:
كما هو متفق بأن الشيناجات يتطلب تصميمها مع اعتبار العزم (عزم الانعطاف) واعتبار القوة المحورية، وهذه الأخيرة يتم تطبيقها شادة وضاغطة، في الشكل التالي توضيح حالة القوى الداخلية في المقطع للحالتين في الأولى تطبيق القوة الضاغطة مع عزم الانعطاف الموجب، وفي الثانية تطبيق قوة الشد:
نلاحظ من الشكل السابق، أن إضافة حديد في المنطقة المضغوطة بشكل متناظر للحديد (الذي تم حسابه على العزم الموجب فقط)، لن تجعل المقطع مقاوم لحالتي الشد والضغط مع العزم (أي يتم الانهيار بالشد ɛs>fy/Es)، أي أن الملاحظة (التي يتكرر ذكرها) هي غير صحيحة بشكل عام، طالما أنها لم تُحسب لمقاومة العزم الموجب وقوة الشد المحورية معاً، ونفس الحالة أيضاً للعزم السالب عند المساند مع قوة الشد.
ولدراسة المقطع بالشكل الصحيح أرى أن تتم منهجية الدراسة بالطريقة التالية:
- دراسة المقطع على الانعطاف البسيط.
- دراسة المقطع على قوة الشد المحورية فقط.
- تحقيق المقطع بحسب مجموع قيم التسليح (السابقة) على الانعطاف المركب، وذلك بالشكل التالي:
- تصميم المقطع على عزم الانعطاف البسيط، بعد افتراض أبعاد المقطع وتحديد قيم العزم والقص بحسب المقاطع الحرجة، يتم حساب مساحة حديد التسليح (منطقة الشد الناتج عن العزم) المطلوبة As(1).
- تصميم المقطع على حمولة محورية شادة فقط وحساب التسليح وفق العلاقة التالية As(2) = Nu/Ω․fy، حيث قيمة Ω تساوي 0.9 في هذه الحالة، ويتم توزيع قيمة المساحة الناتجة على طرفي المقطع، بحيث ينتج تسليح سفلي بقيمة: As (1) + 0.5.As (2) وتسليح علوي بقيمة: 5.As (2).
- بعد اختيار القضبان لمجموع قيم التسليح السابقة، يتم تحقيق المقطع على الانعطاف المركب (العزم وقوة الضغط المحورية)، وذلك إما بعمل مخطط الترابط الخاص بالمقطع أو من خلال طريقة العزم الوهمي للمقطع المسلح بشكل غير متناظر المعرض لقوة ضغط وعزم كما هو هي المرجع السابق (بيتون مسلح – 2 د. ريم خرتش)، وأيضاً في كتاب (الخرسانة المسلحة – 2 د. علاء الدين ناصر، د. يوسف الرغبان).
أما بالنسبة للدراسة على القص، فإنه لابد من التذكير بأن يتم التدقيق على حالتي الشد والضغط، حيث تختلف مقاومة الخرسانة تبعاً لها بالشكل التالي، وتحقيق كافة الاعتبارات المطلوبة
عند ترافق القص مع قوة ضغط حدية مقدارها Nu:
تطبيق عددي:
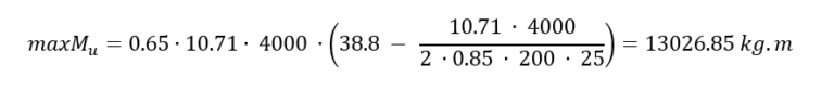
الغاية من هذا المثال العددي، هي تطبيق منهجية الدراسة، وتصميم الشيناج المبين في الشكل التالي بفرض أنه يحمل حمولة جدار مصعدة مع وزنه الذاتي Wu=2.3t/m1 وأن حمولة العمود المصعدة الواصلة لمستوى الأساس Pu=140t بافتراض قيمة التغطية لا تقل عن 4.5سم للمقطع، وأن الصب تم بشكل مستمر مع رقاب الأعمدة، وبحسب مواصفات الحديد المستخدم والخرسانة: f’c 200kg/cm2, fy 4000kg/cm2, fyst 2400kg/cm2
من شرط تحقيق السهم للجائز، h=L/14_540/14=38.57cm، ولاعتبارات تحقيق قيمة تغطية خرسانية مناسبة لحديد التسليح، نعتبر المقطع بأبعاد 45سم*25سم.
` L=min (L=5,4m; 1.05*5.00=5.25; 5+0.5d=5.20) ` L=5.2m
لإيجاد العزم وردود الأفعال:
بفرض قيمة التغطية 4.8سم، وقطر حديد التسليح Ø14;16mm `
d = 45 – (4.8+0.6+0.8) = 38.8cm; d’ = 6.2cm
As(max) | As(min) | d | d’ | b | h | f’c | fy |
10.71cm2 | 2.19cm2 | 38.8 | 6.2 | 25cm | 45cm | 200kg/cm2 | 4000kg/cm2 |
قيمة العزم الموجب في منتصف الفتحة M+AB=7.774t.m، والعزم السالب الاعتباري: M–A=M–B= 2.591t.m وقيمة رد الفعل عند المساند RA=RB=5.98t
يتم تصميم المقاطع وتحقيقها وفق المنهجية المقترحة للتصميم:
أولاً: تصميم المقطع على عزم الانعطاف، بالشكل التالي
حساب قيمة العزم الحدي للمقطع:
حساب قيمة تسليح الرئيسي للعزوم (في وسط المجاز وعند المساند:
As1 (cm2) | γ | α | A0 | Mu |
6.004 | 0.927 | 0.146 | 0.135 | 7.774 |
1.899 | 0.977 | 0.046 | 0.045 | 2591.3 |
ثانياً: تحديد قيمة الحمولة المحورية الضاغطة أو الشادة: Nu=0.1*(140+5.98)=14.598t
حساب قيمة تسليح الشد بحسب القوة المحورية الشادة من العلاقة:
As2=Nu/(Ω.fy)=14598/(0.9*4000)=4.055cm2
قيمة تسليح منطقة الشد في منتصف المجاز:
As=As1+0.5*As2 _ As= (6.004+0.5*4.055) = 8.032cm2 = (4Ø16=8.04cm2)
إذاً المقطع حالياً هو بتسليح سفلي As= 4Ø16 = 8.04cm2 وتسليح علوي A’s=2Ø12=2.26cm2
نتحقق من تحقيق شرط تباعد الحديد السفلي في المقطع:
eh = (25 – 2*4.5 – 2*0.6 – 4*1.6)/3 = 2.8cm (OK)
ثالثاً: تحقيق المقطع بحسب قيم التسليح على العزم وقوة الضغط المحورية بحسب قيم التسليح الأخيرة.
ثم من خلال تصميم مخطط الترابط للمقطع وبحسب قيم التسليح من خلال تصميم شريحة إكسل للنقاط وتنظيمها ضمن جدول:
النقطة الأولى: إيجاد نقطة مقاومة المقطع لعزم الانعطاف البسيط، وهي بحسب العلاقة التالية:
بتطبيق العلاقات السابقة نجد قيمة العزم للنقطة الأولى Mn(1)=11.293t.m
ثم إيجاد نقطة الانهيار المتوازن النقطة (5):
وأيضاً نحدد النقطة الخاصة بالضغط المحوري للمقطع رقم 13 على المخطط Nn(13)=232.45t
ثم نحدد مجموعة من النقاط المساعدة في منطقة الشد حاكم ومنطقة الضغط حاكم لرسم مخطط الترابط (القيم الإسمية) لمقطع الجائز وهو بالشكل التالي:
مثلاً النقطة رقم 3 في المخطط Nn(3)=32.24t,Mn(3)=15.65t.m
والنقطة رقم 9 في المخطط Nn(9)=111.94t,Mn(9)=14.22t.m
من خلال مخطط الترابط، يتم تدقيق كافة النقاط الحرجة عليه، مثلاً النقطة منتصف الجائز بحسب قيمة العزم وقيمة القوة الضاغطة مع تأكيد قيمة Ω لتثبيت هذه النقاط على المخطط للقيم الإسمية:
قوة الضغط المحورية Nn=14.598t, Mn=7.774t.m
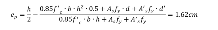
إن هذه القوة تؤثر بشكل محوري ينشأ عنها عزم بسبب عدم تطبيقها في مركز المقطع البلاستيكي
Mn(ep)=Nn*ep=14.598*1.62*10-2=0.237t.m _ Mn=7.774+0.237=8.011t.m
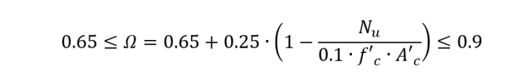
تحديد قيمة عامل الأمان في الانعطاف المركب Ω بحسب الكود بالعلاقة التالية:
حيث Nc=0.85*f’c*A’c بالتعويض نجد: Ω=0.862
أو بتطبيق العلاقة الثانية التالية:
فنجدها: Ω=0.738 وهي تمنح قيمة عامل أمان أكبر من القيمة السابقة، نثبت هذه النقطة على المخطط بالشكل التالي:
Mu= Ω * Mn _ Mn=8.011/0.738=10.86 t.m
Nu= Ω * Nn _ Nn=14.598/0.738=19.78 t
بتوقيعها على المخطط نجد أنها محققة.
حساب تسليح القص:
بتطبيق العلاقة على أكبر قيمة للجهد القاطع، وعدم اعتبار أي مساهمة للخرسانة، نجد:
τu=7.253kg/cm2 _ τu < τcu=0.72*200^0.5=10.18kg/cm2
المقطع يكفيه تسليح قص أصغري:
بتطبيق الاشتراطات الخاصة بقطر الأساور، وتباعدها b/2=12.5cm بحسب متطلبات الملحق (ز) التي تم الإشارة لها في هذا البحث، أي نستخدم Ø6/12.5 وبمقارنتها مع تسليح القص الأصغري، نجدها أيضاً محققة.
بحسب هذا المثال، نجد أنه قد تم تحقيق الأمان وفق الاشتراطات المطلوبة لتحميل المقطع، ومع ذلك فقد تم توفير في كمية الحديد (عن حالة تسليحه بشكل متناظر بتعميم قيمة مساحة حديد الشد لعزم الانعطاف البسيط) حيث إن تسليح المقطع بالانعطاف البسيط في هذا المثال، يحتاج قيمة As1=6.004cm2=(3Ø16=6.03cm2)
وبدراسة المقطع (الثاني) بالتسليح المضاعف ورسم مخطط الترابط، نجد أن النقطة الخاصة بمنتصف الجائز هي تقريباً غير آمنة بحسب الشكل التالي:
ومن خلال مقارنة كمية الحديد للحالتين نجد أن المقطع الثاني يتطلب زيادة بحدود 17% عن حاجة المقطع مع عدم توفيره الأمان المطلوب بحسب المخطط الأخير، والأهم أيضاً أن المقطع الثاني لم يتم تصميمه على تحمل قوة الشد مع عزم الانعطاف كما هو متبع في المقطع الأول.
في النهاية:
الأبنية، كل الأبنية تحتاج الأساسات السليمة، لقد حاولت في هذا البحث (والمقالة السابقة) أن أشير لمتطلبات التصميم المطلوبة للكمرات الأرضية، والتوجيه لضرورة اتباع الطريقة الصحيحة في دراسة قيم التسليح المطلوبة، بدل أن يتم مضاعفة قيمة حديد الشد الناتج عن العزم البسيط لمقاومة القوى الشادة والضاغطة، لأنها كما بينت لن تعمل بالشكل الصحيح في منطقة الشد، مع إضافة قوة الشد كحمولة محورية (الانهيار بالشد)، مترافقة مع عزم الانعطاف الموجب، وبنفس الطريقة أيضاً مع العزم السالب عند المساند. والغاية من هذه الدراسة هي تحقيق أمان المنشآت مع تحقيق التوفير الناتج عن هدر مضاعفة حديد تسليح منطقة الشد لعزم الانعطاف، وكل ما سبق قد تم حسب علاقات التصميم والتحقيق في الكود العربي السوري لتصميم وتنفيذ المنشآت بالخرسانة المسلحة، ومجموعة المراجع المختصة.
المراجع:
- الكود العربي السوري لتصميم وتنفيذ المنشآت بالخرسانة المسلحة – الطبعة السادسة 2024
- الملحق رقم 2 تصميم وتحقيق المباني والمنشآت المقاومة للزلازل – الطبعة الرابعة 2024
- الملحق رقم 3 التفاصيل والرسومات – الطبعة الرابعة 2018
- بيتون مسلح – 2 د. علاء الدين ناصر، د. يوسف الرغبان، منشورات جامعة حلب 2021
- الخرسانة المسلحة – 2 د. علاء الدين ناصر، د. يوسف الرغبان، منشورات جامعة حلب 2004
- بيتون مسلح – 2 د. ريم خرتش، منشورات جامعة الفرات 2023
- الكود الأمريكي ACI CODE-318-25 (2025)
- مقالة: متطلبات تصميم الشيناجات في الكود العربي السوري، مجلة المهندسين السوريين، العدد الأول بعد التحرير
